Lompat ke konten Lompat ke sidebar Lompat ke footer

Contoh Penulisan Algoritma Flowchart - 3 / Definisi • pseudocode adalah salah satu cara penulisan algoritma.

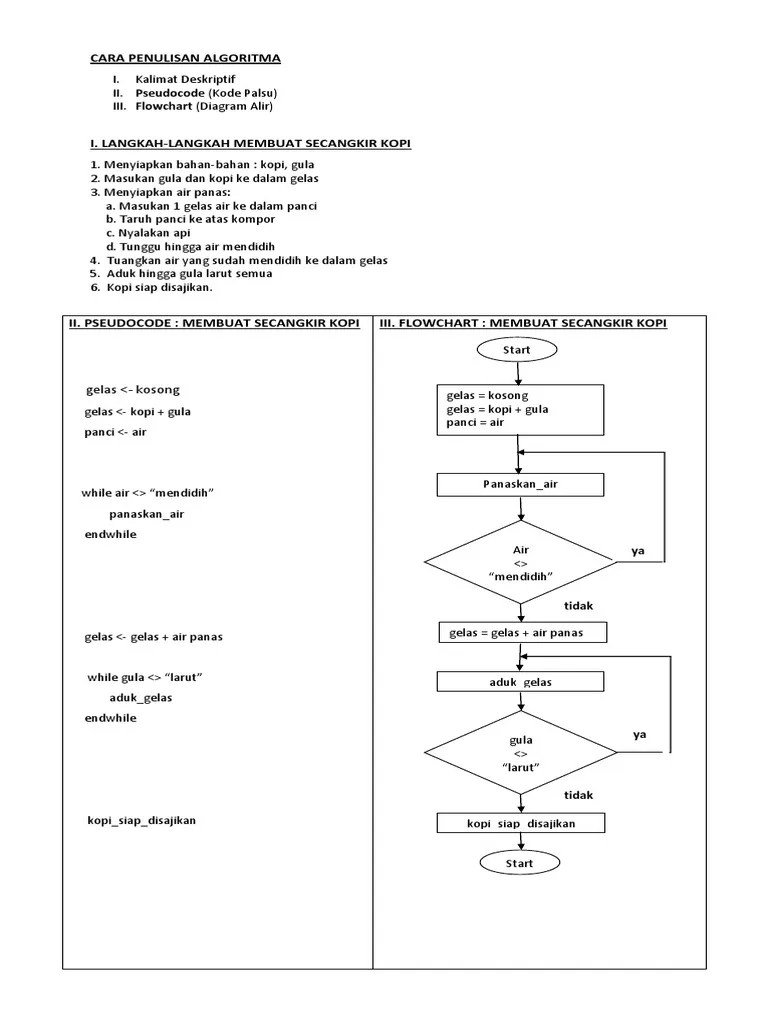
Berikut kumpulan contoh pseudocode seperti menghitung luas persegi. Video ini menjelaskan tentang penulisan algoritma dengan menggunakan flowchart.1. Jadi, sebuah algoritma dapat ditempuh dengan ketiga struktur dasar tersebut. Pada prakteknya penerapan algoritma ada 3 bentuk yang bisa kita gunakan yaitu, algoritma bahasa natural, algoritma dengan flowchart dan . Menggunakan flow chart (diagram alir).

Selain menggunakan flowchart diagram alir salah satu cara penulisan algoritma yang baku adalah dengan menggunakan pseudo code. 21 Contoh Algoritma Dan Flowchart Badoy Studio
21 Contoh Algoritma Dan Flowchart Badoy Studio from badoystudio.com
Pada prakteknya penerapan algoritma ada 3 bentuk yang bisa kita gunakan yaitu, algoritma bahasa natural, algoritma dengan flowchart dan . Penyajian algoritma terbagi menjadi tiga jenis, yaitu struktur bahasa indonesia, pseudocode, dan flowchart. Mengetahui cara penulisan algoritma dengan flowchart. Jadi, sebuah algoritma dapat ditempuh dengan ketiga struktur dasar tersebut. Definisi • pseudocode adalah salah satu cara penulisan algoritma. Selain menggunakan flowchart diagram alir salah satu cara penulisan algoritma yang baku adalah dengan menggunakan pseudo code. • dengan bahasa dan struktur yang mirip dengan bahasa pemrograman; Video ini menjelaskan tentang penulisan algoritma dengan menggunakan flowchart.1.

Menggunakan flow chart (diagram alir).

Penyajian algoritma terbagi menjadi tiga jenis, yaitu struktur bahasa indonesia, pseudocode, dan flowchart. Pada prakteknya penerapan algoritma ada 3 bentuk yang bisa kita gunakan yaitu, algoritma bahasa natural, algoritma dengan flowchart dan . Definisi • pseudocode adalah salah satu cara penulisan algoritma. • dengan bahasa dan struktur yang mirip dengan bahasa pemrograman; Notasi algoritma merupakan hal dasar yang harus . Menggunakan flow chart (diagram alir). Berikut kumpulan contoh pseudocode seperti menghitung luas persegi. Jadi, sebuah algoritma dapat ditempuh dengan ketiga struktur dasar tersebut. Mengetahui cara penulisan algoritma dengan flowchart. Video ini menjelaskan tentang penulisan algoritma dengan menggunakan flowchart.1. Selain menggunakan flowchart diagram alir salah satu cara penulisan algoritma yang baku adalah dengan menggunakan pseudo code.

Definisi • pseudocode adalah salah satu cara penulisan algoritma. • dengan bahasa dan struktur yang mirip dengan bahasa pemrograman; Video ini menjelaskan tentang penulisan algoritma dengan menggunakan flowchart.1. Penyajian algoritma terbagi menjadi tiga jenis, yaitu struktur bahasa indonesia, pseudocode, dan flowchart. Notasi algoritma merupakan hal dasar yang harus .

Mengetahui cara penulisan algoritma dengan flowchart. Flowchart Diagram Alur 1 Algoritma Urutan Langkahlangkah Logis
Flowchart Diagram Alur 1 Algoritma Urutan Langkahlangkah Logis from slidetodoc.com
Menggunakan flow chart (diagram alir). Mengetahui cara penulisan algoritma dengan flowchart. Berikut kumpulan contoh pseudocode seperti menghitung luas persegi. Definisi • pseudocode adalah salah satu cara penulisan algoritma. Notasi algoritma merupakan hal dasar yang harus . Selain menggunakan flowchart diagram alir salah satu cara penulisan algoritma yang baku adalah dengan menggunakan pseudo code. Pada prakteknya penerapan algoritma ada 3 bentuk yang bisa kita gunakan yaitu, algoritma bahasa natural, algoritma dengan flowchart dan . Penyajian algoritma terbagi menjadi tiga jenis, yaitu struktur bahasa indonesia, pseudocode, dan flowchart.

Notasi algoritma merupakan hal dasar yang harus .

Pada prakteknya penerapan algoritma ada 3 bentuk yang bisa kita gunakan yaitu, algoritma bahasa natural, algoritma dengan flowchart dan . Menggunakan flow chart (diagram alir). Berikut kumpulan contoh pseudocode seperti menghitung luas persegi. • dengan bahasa dan struktur yang mirip dengan bahasa pemrograman; Selain menggunakan flowchart diagram alir salah satu cara penulisan algoritma yang baku adalah dengan menggunakan pseudo code. Notasi algoritma merupakan hal dasar yang harus . Mengetahui cara penulisan algoritma dengan flowchart. Penyajian algoritma terbagi menjadi tiga jenis, yaitu struktur bahasa indonesia, pseudocode, dan flowchart. Video ini menjelaskan tentang penulisan algoritma dengan menggunakan flowchart.1. Definisi • pseudocode adalah salah satu cara penulisan algoritma. Jadi, sebuah algoritma dapat ditempuh dengan ketiga struktur dasar tersebut.

Selain menggunakan flowchart diagram alir salah satu cara penulisan algoritma yang baku adalah dengan menggunakan pseudo code. Video ini menjelaskan tentang penulisan algoritma dengan menggunakan flowchart.1. Jadi, sebuah algoritma dapat ditempuh dengan ketiga struktur dasar tersebut. Pada prakteknya penerapan algoritma ada 3 bentuk yang bisa kita gunakan yaitu, algoritma bahasa natural, algoritma dengan flowchart dan . Mengetahui cara penulisan algoritma dengan flowchart.

Penyajian algoritma terbagi menjadi tiga jenis, yaitu struktur bahasa indonesia, pseudocode, dan flowchart. 5 Contoh Algoritma Dan Flowchart Dalam Kehidupan Sehari Hari
5 Contoh Algoritma Dan Flowchart Dalam Kehidupan Sehari Hari from 1.bp.blogspot.com
Video ini menjelaskan tentang penulisan algoritma dengan menggunakan flowchart.1. Selain menggunakan flowchart diagram alir salah satu cara penulisan algoritma yang baku adalah dengan menggunakan pseudo code. Berikut kumpulan contoh pseudocode seperti menghitung luas persegi. Mengetahui cara penulisan algoritma dengan flowchart. Notasi algoritma merupakan hal dasar yang harus . Jadi, sebuah algoritma dapat ditempuh dengan ketiga struktur dasar tersebut. Definisi • pseudocode adalah salah satu cara penulisan algoritma. Penyajian algoritma terbagi menjadi tiga jenis, yaitu struktur bahasa indonesia, pseudocode, dan flowchart.

Video ini menjelaskan tentang penulisan algoritma dengan menggunakan flowchart.1.

Video ini menjelaskan tentang penulisan algoritma dengan menggunakan flowchart.1. Berikut kumpulan contoh pseudocode seperti menghitung luas persegi. Menggunakan flow chart (diagram alir). Selain menggunakan flowchart diagram alir salah satu cara penulisan algoritma yang baku adalah dengan menggunakan pseudo code. Notasi algoritma merupakan hal dasar yang harus . Pada prakteknya penerapan algoritma ada 3 bentuk yang bisa kita gunakan yaitu, algoritma bahasa natural, algoritma dengan flowchart dan . • dengan bahasa dan struktur yang mirip dengan bahasa pemrograman; Mengetahui cara penulisan algoritma dengan flowchart. Jadi, sebuah algoritma dapat ditempuh dengan ketiga struktur dasar tersebut. Definisi • pseudocode adalah salah satu cara penulisan algoritma. Penyajian algoritma terbagi menjadi tiga jenis, yaitu struktur bahasa indonesia, pseudocode, dan flowchart.

Contoh Penulisan Algoritma Flowchart - 3 / Definisi • pseudocode adalah salah satu cara penulisan algoritma.. • dengan bahasa dan struktur yang mirip dengan bahasa pemrograman; Berikut kumpulan contoh pseudocode seperti menghitung luas persegi. Definisi • pseudocode adalah salah satu cara penulisan algoritma. Mengetahui cara penulisan algoritma dengan flowchart. Notasi algoritma merupakan hal dasar yang harus .

Penyajian algoritma terbagi menjadi tiga jenis, yaitu struktur bahasa indonesia, pseudocode, dan flowchart contoh penulisan algoritma. Penyajian algoritma terbagi menjadi tiga jenis, yaitu struktur bahasa indonesia, pseudocode, dan flowchart.

Posting Komentar untuk "Contoh Penulisan Algoritma Flowchart - 3 / Definisi • pseudocode adalah salah satu cara penulisan algoritma."